Préstamos y Depósitos. Matemática Financiera
Queremos pedir un préstamo y tenemos las ofertas de dos bancos:
Banco 1
– Capital préstamo:
€
– Interés anual:
– Periodo de pago: Mensual
– Tiempo: 20 años
– Gastos y comisiones:
€
Banco 2
– Capital préstamo:
€
– Interés anual:
– Periodo de pago: Anual
– Tiempo: 15 años
– Gastos y comisiones:
€
– ¿Qué cuota tendríamos que pagar en cada caso? Recuerda que en el primer banco el pago será mensual y en el segundo banco la cuota será anual.
– Cuando terminamos de pagar todo el préstamo, ¿qué banco nos ha ofrecido el producto más rentable?
– Si lo que nos interesa es pagar cada año lo menos posible, ¿qué opción elegiremos?
Aparte del préstamo que queremos pedir, disponemos de
€ para posibles imprevistos que colocamos en un depósito que nos ofrece un interés compuesto del
, en periodos mensuales. Después de 5 años, ¿qué capital final obtendremos? Calcula la tasa anual equivalente (TAE).
SOLUCIÓN
Debemos usar las fórmulas de Financiación
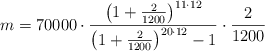
Para el primer banco aplicamos la fórmula

Que aplicada a nuestros datos sería:


![]()
![]()
€ mensuales
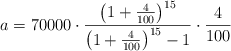
Para el segundo banco aplicamos la fórmula:

Con nuestros datos será:

€ anuales
Con el primer banco pagamos ![]()
Con el segundo banco pagamos ![]()
Por lo que el primer banco es mucho más rentable (aparte de pagar menos, tenemos más tiempo para pagarlo)
Si queremos pagar lo mínimo al año, nos saldría mejor el banco 1 (independientemente de las comisiones)
Banco 1: ![]()
Banco 2: ![]()
Para el depósito usaremos las fórmulas de interés compuesto
Para nuestro caso, como los periodos son mensuales usaríamos la fórmula:
![]()
![]()
Para calcular la TAE usamos las fómulas de TAE
En nuestro caso será:
![]()
La TAE es del ![]()