Plan de pensiones
Contratamos un plan de pensiones con aportaciones anuales de 5000€ a un interés compuesto del 4%. ¿Qué capital tendremos al cabo de 20 años?
SOLUCIÓN:
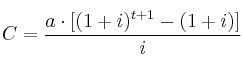
Para aportaciones anuales (Ver Capitalización) usaremos la siguiente fórmula:
![C = \frac{a \cdot \left[ (1+i)^{t+1} - (1+i) \right]}{i} C = \frac{a \cdot \left[ (1+i)^{t+1} - (1+i) \right]}{i}](local/cache-vignettes/L242xH72/19f92647c4c4c614b86be1624f857d6a-059ef.png?1688047428)
–
: número de años
–
–
: anualidad
–
: Capital final
![C = \frac{5000 \cdot \left[ (1+0.04)^{20+1} - (1+0.04) \right]}{0.04} C = \frac{5000 \cdot \left[ (1+0.04)^{20+1} - (1+0.04) \right]}{0.04}](local/cache-vignettes/L335xH72/b8a41294696a1d8ee84ec142808a9ad7-f06c5.png?1688047428)
![C = \frac{5000 \cdot \left[ (1.04)^{21} - (1.04) \right]}{0.04}=154846 C = \frac{5000 \cdot \left[ (1.04)^{21} - (1.04) \right]}{0.04}=154846](local/cache-vignettes/L337xH72/696b94bf6f85b3583ddc20cf8fd5155b-b5b70.png?1688047428)
A los 20 años tendremos 154846 €
Matemáticas IES