Plan de pensiones
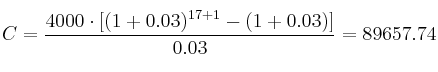
Un banco nos ofrece un plan de pensiones a un interés compuesto del 3% anual, con aportaciones anuales de 4000 euros.
Aunque todavía faltan 17 años para nuestra jubilación, nos interesa conocer los beneficios de ese plan de pensiones. ¿Qué capital obtendríamos cuando nos jubilemos?
SOLUCIÓN:
Para aportaciones anuales usaremos la siguiente fórmula:
![C = \frac{a \cdot \left[ (1+i)^{t+1} - (1+i) \right]}{i} C = \frac{a \cdot \left[ (1+i)^{t+1} - (1+i) \right]}{i}](local/cache-vignettes/L242xH72/19f92647c4c4c614b86be1624f857d6a-059ef.png?1688047428)
–
: número de años
–
–
: anualidad
–
: Capital final
Sustituyendo los datos del enunciado obtenemos:
![C = \frac{4000 \cdot \left[ (1+0.03)^{17+1} - (1+0.03) \right]}{0.03}=89657.74 C = \frac{4000 \cdot \left[ (1+0.03)^{17+1} - (1+0.03) \right]}{0.03}=89657.74](local/cache-vignettes/L438xH72/5ace81271119940df4f316857cf05c45-09b48.png?1688053182)
Matemáticas IES