1222

Operaciones con potencias

, por dani

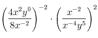
Simplifica y expresa el resultado como potencia de exponente natural
\left( \frac{4x^2y^0}{8x^{-2}} \right)^{-2} \cdot \left( \frac{x^{-2}}{x^{-4}y^5} \right)^2