Operaciones con fracciones 4556

, por dani

Realiza las siguientes operaciones y simplifica el resultado.

7 - \frac{\left( \frac{2}{4} + \frac{4}{3} \right) }{\left( \frac{1}{2} \right)^3} + 5 \cdot \frac{8}{5} - 9

SOLUCIÓN:

Podemos hacer aparte algunas operaciones:

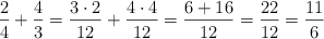
 \frac{2}{4} + \frac{4}{3} = \frac{3 \cdot 2}{12} + \frac{4 \cdot 4}{12} = \frac{6+16}{12} = \frac{22}{12} = \frac{11}{6}

\left( \frac{1}{2} \right)^3 = \frac{1}{8}

\frac{\left( \frac{2}{4} + \frac{4}{3} \right) }{\left( \frac{1}{2} \right)^3} = \frac{11}{6} :  \frac{1}{8}= \frac{11 \cdot 8}{6 \cdot 1}=\frac{88}{6} = \frac{44}{3}

Entonces la operación total quedará de la forma:

7 -  \frac{44}{3} + 5 \cdot \frac{8}{5} - 9 =


7 -  \frac{44}{3} + 8 - 9 = 6 - \frac{44}{3} = \frac{18-44}{3}=\frac{-26}{3}