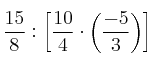
Operaciones con fracciones | fracciones operaciones_con_fracciones Opera y simplifica: – a) – b) Secciones 1º BACH. CIENCIAS 1º BACH. SOC. 1º ESO 2º BACH. CIENCIAS 2º BACH. SOC. 2º ESO 3º ESO 4º ESO Circunferencia Ecuaciones Estadística Funciones 4º ESO Geometría en el plano Inecuaciones Logaritmos Números racionales Números Reales Polinomios Probabilidad Proporcionalidad Radicales Sistemas de ecuaciones Trigonometría Palabras clave fracciones operaciones_con_fracciones