Operaciones combinadas con fracciones
Calcula y simplifica:

SOLUCIÓN:
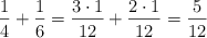
Realizamos aparte las siguientes operaciones:
![]()

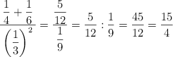
La expresión total quedaría:
![]()
![]()
![]()
![]()
Calcula y simplifica:

SOLUCIÓN:
Realizamos aparte las siguientes operaciones:
![]()

La expresión total quedaría:
![]()
![]()
![]()
![]()