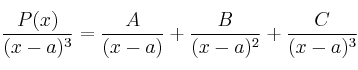
Cuando al factorizar el denominador obtenemos raíces reales múltiples (al cuadrado, al cubo, etc.), la descomposición en suma de fracciones es de la siguiente forma:

Como el grado de multiplicidad es 3 (al cubo), debemos poner 3 fracciones con denominadores elevado a uno, a dos y a tres.
Ejemplo: 

Realizamos la suma

Igualamos numeradores:

Damos valores a
– Si
– Si
– Si 
Resolvemos el sistema y obtenemos
;
; 
Por tanto:



Las integrales de cada fracción son inmediatas de tipo Neperiano o de tipo Potencia