Hallar paralela y perpendicular
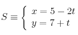
Dadas las rectas:
Se pide:
– una recta
paralela a
por el punto
– una perpendicular
, a
por el punto ![]()
SOLUCIÓN
Al ser paralela, tiene la misma dirección (el mismo vector director). Con el vector director y el punto que nos dan, tenemos la recta.

La recta
tiene como vector director
. Para conseguir una perpendicular, necesitamos un vector perpendicular al
, que sería el
.
Con el vector
y el punto que nos dan
, ya tenemos la recta:

Mensajes
14 de junio de 2008, 16:08, por dani
Dadas las rectas:
paralela a
por el punto
, a
por el punto 
Se pide:
– una recta
– una perpendicular
Las ecuaciones paramétricas de una recta son de la forma:
– Paralela por (5,7): igual vector y como punto el (5,7)
– Perpendicular por (0,0): vector perpendicular a (-4,3) es por ejemplo (3,4). Como punto tomamos el (0,0)