Geometría en el Plano
(87) ejercicios de Geometría en el Plano
-
Estudia la posición relativa de los siguientes pares de rectas y halla el punto de corte (cuando exista)
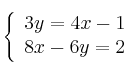
a)

b)

-
Dados los puntos
y
, se pide:– a) Ecuaciones paramétricas, continua y general de la recta
que pasa por
y
– b) Ángulo que forma la recta anterior con el eje de abcisas
– c) Ecuación de la mediatriz del segmento determinado por
y
– d) Distancia de dicha mediatriz al origen de coordenadas
-
Hallar la ecuación de la(s) recta(s) que tiene(n) pendiente -2/3 y forma(n) con los ejes coordenados un triangulo de área 24
-
Dados los vectores
y
, hallar un vector
tal que
y 
-
Dados los vectores
y
, hallar
de modo que
. ¿Qué ángulo forman los vectores
y
?

