Geometría. Superficies
Calcula el perímetro y la superficie de la siguiente figura
SOLUCIÓN:
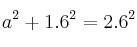
Podemos calcular la altura (a) por el teorema de Pitágoras
![]()
![]()
![]()
![]()

Ahora ya podemos calcular el perímetro:

Para calcular la superficie podemos sumar el área del triángulo y el área del rectángulo
Área del triángulo:

Área del rectángulo:
![]()
Entonces el área de la figura será:

Matemáticas IES