Funciones gráfica a trozos

, por dani

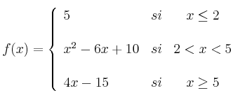
Representa gráficamente la función:

 
f(x)= \left\{ \begin{array}{lcc}
              5 &   si  & x \leq 2 \\
              \\ x^2-6x+10 &  si & 2 < x < 5 \\
              \\ 4x-15 &  si  & x \geq 5 
              \end{array}
    \right.