Funciones gráfica
Representación gráfica
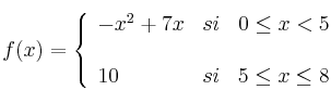
Se trata de una función a trozos: un trozo de 0 a 5 y otro de 5 a 8.
– Primer trozo: 
.
Es una parábola invertida (el coeficiente de la 
 es negativo).
Obtengamos el vértice, cuya primera coordenada responde a la fórmula 
 , siendo 
 el coeficiente de la 
 y 
 el coeficiente de 
Por tanto: Vértice (3.5 , 12.25)
El Corte con los ejes nos suele ayudar a representar la parábola.
Si 
 entonces 
 . Corte 
Si 
 entonces 
. Ecuación de 2º grado cuyas soluciones son 0 y 7.
Por tanto los puntos de corte son 
 y 
.
Debemos tener en cuenta, a la hora de representar gráficamente, que el 
 está fuera de su dominio (de 0 a 5), por tanto no tenemos que representarlo.
Podemos asignar valores y obtener otros puntos que nos faciliten la representación gráfica. Debemos recordar que los valores 0 y 5 debemos asignarlos porque son los puntos de inicio y fin de trozo.
Podemos obtener las imágenes de 1,2 y 3. La simetría nos dará los puntos 4 y 5.
– Segundo trozo: 
. Es la función constante (recta horizontal por el 10) entre 5 y 8.

Evolución del beneficio
El beneficio empieza en 0 cuando se crea la empresa y va aumentando hasta el año 3.5 en que alcanza el máximo: 12,25 millones de euros.
A partir del año 3,5 inicia un descenso (hasta los 10 millones) en el año 5. 
Desde el año 5 hasta el 8 el beneficio se mantiene constante en 10 millones.
¿Cuándo se espera un beneficio de 11,25 millones de euros?
Analizando la gráfica se observa que hay dos momentos en que el beneficio es de 11,25 millones: uno antes del tercer año y otro después del cuarto año.
Para calcular exactamente en qué momento se alcanza ese beneficio, tan sólo tenemos que resolver la ecuación: 
 . Por tanto:
Ecuación de segundo grado con dos soluciones: 2,5 y 4,5.
Por tanto el beneficio de 11,25 millones se alcanza en dos momentos:
– a los 2 años y medio
– a los 4 años y medio
El beneficio esperado por una empresa, en los próximos 8 años, viene indicado por la función:

El tiempo (x) está expresado en años y el Beneficio f(x) viene expresado en millones de euros.
– a) Representa gráficamente la función 
– b) Explica la evolución del beneficio en esos 8 años
– c) ¿Cuándo se espera un beneficio de 11,25 millones de euros?
 Matemáticas IES