Navega sin publicidad Regístrate GRATIS
 
  Si ya estás registrado/a Identifícate

Funciones Corte con los ejes

corte_ejesEjercicios_Resueltosfunciones

Calcula los puntos de corte con los Ejes de Coordenadas de la siguiente función:

f(x)=\left\{
\begin{array}{lcr}
x^2-4 & si & x \leq 0 \\
x+1 & si & x > 0
\end{array}
\right.

SOLUCIÓN

Si x=0 \longrightarrow y=0^2-4=-4
Punto de corte \textcolor{blue}{(0,-4)}

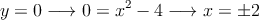
Si y=0 \longrightarrow 0=x^2-4 \longrightarrow x=\pm2
Punto de corte \textcolor{blue}{(-2,0)}
Observe que el (2,0) no vale por estar fuera del dominio

Si y=0 \longrightarrow 0=x+1 \longrightarrow x=-1
El punto (-1,0) no vale por estar fuera del dominio.

Comentar el ejercicio