Ejercicios de fracciones 4184

, por dani

Realiza las siguientes operaciones y simplifica el resultado.
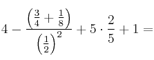
4 - \frac{\left( \frac{3}{4}+\frac{1}{8} \right)}{\left( \frac{1}{2}\right)^2} + 5 \cdot \frac{2}{5}+1

SOLUCIÓN:

4 - \frac{\left( \frac{3}{4}+\frac{1}{8} \right)}{\left( \frac{1}{2}\right)^2} + 5 \cdot \frac{2}{5}+1 =
4 - \frac{ \frac{7}{8} }{ \frac{1}{4}} + \frac{5}{1} \cdot \frac{2}{5}+1 =
4 - \frac{ 28 }{ 8} + 2 +1 =
7 - \frac{ 28 }{ 8}  =
\frac{56}{8} - \frac{ 28 }{ 8}  = \frac{28}{8} = \frac{7}{2}