2250

Ejercicios Integrales Inmediatas

, por dani

Resuelve las integrales:

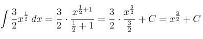
 \int \frac{3}{2} x^{\frac{1}{2}} \: dx
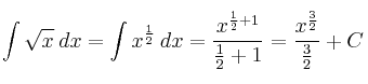
 \int \sqrt{x} \: dx
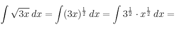
 \int \sqrt{3x} \: dx

SOLUCIÓN:

 \int \frac{3}{2} x^{\frac{1}{2}} \: dx = \frac{3}{2} \cdot \frac{x^{\frac{1}{2}+1}}{\frac{1}{2}+1}} = \frac{3}{2} \cdot \frac{x^{\frac{3}{2}}}{\frac{3}{2}}} + C = x^{\frac{3}{2}}+C

 \int \sqrt{x} \: dx = \int x^{\frac{1}{2}} \: dx= \frac{x^{\frac{1}{2}+1}}{\frac{1}{2}+1} = \frac{x^{\frac{3}{2}}}{\frac{3}{2}} + C

 \int \sqrt{3x} \: dx = \int (3x)^{\frac{1}{2}} \: dx = \int 3^{\frac{1}{2}} \cdot  x^{\frac{1}{2}} \: dx =
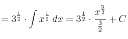
= 3^{\frac{1}{2}} \cdot \int x^{\frac{1}{2}} \: dx = 3^{\frac{1}{2}} \cdot  \frac{x^{\frac{3}{2}}}{\frac{3}{2}} + C