Ejercicio de distribución normal 4379
Un productor de sobres de correos sabe por experiencia que el peso de los sobres está distribuido aproximadamente en forma normal con
gramos y
gramos. ¿Alrededor de cuantos sobres que pesan dos gramos o más se pueden encontrar en un paquete de 120 sobres?
SOLUCIÓN
Se trata de una distribución normal (como dice el enunciado) de media
y desviación típica
(con los datos en gramos).
Se expresa así:
![]()
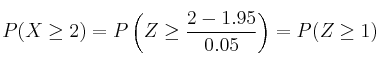
Calculamos primero la Probabilidad de que un sobre cualquiera pese dos o más gramos
![]()
En primer lugar se tipifica la variable

Ahora debemos recordar cómo se mira en las tablas
![]()
Ya lo podemos mirar en la tabla de la Normal (0,1)
![]()
Por tanto, la probabilidad de que un sobre elegido al azar pese 2 o más gramos es 0.1587.
En porcentaje significa el
de los sobres.
Si hay 120 sobres entonces ![]()
Entonces en el paquete de 120 puede haber aproximadamente 19 o 20 sobres que pesen dos gramos o más.