1673
Ejercicio Polinomios
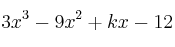
Si el polinomio
es divisible por
, entonces también es divisible por:
– a)
– b)
– c)
– d)
– e) ![]()
1673
Si el polinomio
es divisible por
, entonces también es divisible por:
– a)
– b)
– c)
– d)
– e) ![]()