Ecuaciones racionales 3201
Resuelve la ecuación 
SOLUCIÓN
Ecuación racional:

Paso 1 · Dominio de la ecuación
Los denominadores no pueden ser cero. Valores excluidos:
![]()
Paso 2 · Denominadores y MCM
Los denominadores presentes son: (x+1), (x-1).
![]()
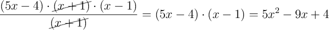
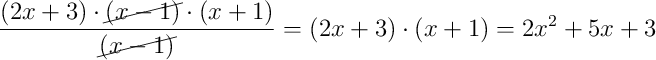
Paso 3 · Multiplicamos por el MCM para eliminar denominadores
Cada fracción, al multiplicarse por el MCM, cancela su denominador:


![]()
Paso 4 · Ecuación sin denominadores
![]()
Paso 5 · Resolvemos la ecuación resultante
Transponemos al primer miembro:
![]()
Con
,
,
:
![]()


![]()

Paso 6 · Verificamos las soluciones respecto al dominio
no anula ningún denominador → solución válida ✓
no anula ningún denominador → solución válida ✓
