Ecuaciones racionales 3188
Resuelve la ecuación 
SOLUCIÓN
Ecuación racional:

Si multiplicamos en cruz obtenemos:
![]()
![]()
![]()
Sacamos factor común
![]()
Producto de factores igualado a cero, entonces:
![]()
![]()
No tiene soluciones reales
La única solución es
, válida porque no anula ningún denominador
Otrra forma de hacerlo:
Ecuación racional:

Paso 1 · Dominio de la ecuación
Los denominadores no pueden ser cero. Valores excluidos:

Paso 2 · Denominadores y MCM
Los denominadores presentes son: (3x+1), (2x-1).
![]()
![]()
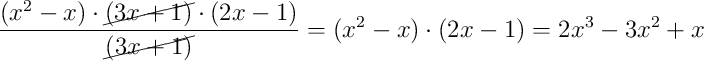
Paso 3 · Multiplicamos por el MCM para eliminar denominadores
Cada fracción, al multiplicarse por el MCM, cancela su denominador:


Paso 4 · Ecuación sin denominadores
![]()
![]()
El resultado es una ecuación de grado 3, ya sin denominadores.
Producto de factores igualado a cero, entonces:
![]()
![]()
No tiene soluciones reales
La única solución es
, válida porque no anula ningún denominador