Ecuaciones racionales 3186
Resuelve la ecuación 
SOLUCIÓN
Ecuación racional:

Paso 1 · Dominio de la ecuación
Los denominadores no pueden ser cero. Valores excluidos:
![]()
Paso 2 · Denominadores y MCM
Los denominadores presentes son: x^4, x^2.
![]()
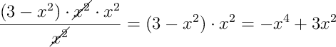
Paso 3 · Multiplicamos por el MCM para eliminar denominadores
Cada fracción, al multiplicarse por el MCM, cancela su denominador:


![]()
Paso 4 · Ecuación sin denominadores
![]()
El resultado es una ecuación de grado 4, ya sin denominadores.
Se trata de una ecuación bicuadrada
Resolvemos la ecuación bicuadrada:
![]()
Hacemos el cambio de variable
(con
):
![]()
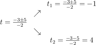
Calculamos el discriminante:
![]()
Las soluciones para
son:

Deshacemos el cambio de variable
:
→ no hay soluciones reales para ![]()
Como
: ![]()
![]()
![]()
![]()