Ecuaciones de la recta
Halla las ecuaciones vectorial, paramétricas, continua, general y explícita de la recta que pasa por los puntos
y ![]()
SOLUCIÓN:
Necesitamos un punto y un vector director.
Tomamos como punto el
Tomamos como vector director 
– Ec. vectorial:
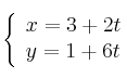
– Ec. paramétricas:
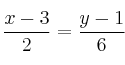
– Ec. continua:
– Ec. general
– Ec- explícita

Matemáticas IES