Ecuaciones Logarítmicas
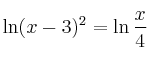
Resuelve la ecuación
![]()
SOLUCIÓN
En primer lugar debemos repasar los pasos a seguir para resolver ecuaciones logarítmicas
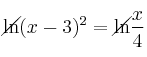
![]()



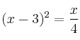
Aplicamos las fórmulas de los productos notables


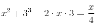
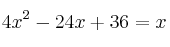
Quitamos denominadores (pasando el 4, que está dividiendo, multiplicando al otro miembro)
![]()
![]()
![]()
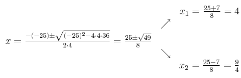
Resolvemos la ecuación de 2º grado

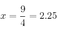
La solución
no es válida porque si la sustituimos en la ecuación original produce logaritmos negativos.
![]()
La única solución correcta es 