Ecuaciones Exponenciales
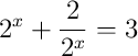
Resuelve la ecuación:
![]()
SOLUCIÓN
Ecuación exponencial
![]()
Absorbemos los exponentes constantes:
![]()
Multiplicamos por
:
![]()
Cambio de variable: sea
(con
).
![]()
Discriminante: ![]()

→
![]()
Igualamos los exponentes:
![]()
![]()
→
![]()
Igualamos los exponentes:
![]()
![]()
Otra forma
![]()

Hacemos el cambio ![]()
Resolvemos en t y llegamos a la misma ecuación que antes:
![]()
Discriminante: ![]()

→
![]()
Igualamos los exponentes:
![]()
![]()
→
![]()
Igualamos los exponentes:
![]()
![]()