1401
Ecuaciones
Resuelve la ecuación
![]()
SOLUCIÓN:
![]()
Tenemos un producto de 2 factores igualado a cero, eso quiere decir que alguno de esos factores es cero. Las posibilidades son las siguientes:
–
– ![]()
Es una ecuación irracional. Debemos aislar a raíz y elevar al cuadrado ambos miembros.
![]()
![]()
![]()
![]()
Tenemos 3 posibles soluciones: 3, -3 y 9
Debemos recordar que cuando trabajamos con ecuaciones irracionales hay que verificar las soluciones (al elevar al cuadrado estamos aumentando el grado de la ecuación y puede que añadiendo soluciones falsas).
Comprobamos cada una de las soluciones:
– Para x=3


x=3 es una solución correcta
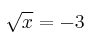
– Para x=3
![]()
![]()
no tiene sentido en los números reales
x=-3 NO es una solución correcta en el conjunto de los números reales
– Para x=

![]()
x=9 NO una solución correcta
Por tanto, la única solución real de la ecuación es 
Matemáticas IES