Ecuación Racional Resuelta
Resuelve la ecuación 
SOLUCIÓN
Se trata de una ecuación racional (x en el denominador)
Hacemos el m.c.m. de los denominadores
Ponemos el mcm en todos los denominadores
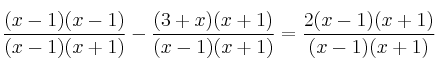
Para cada numerador, dividimos mcm entre denominador y multiplicamos por numerador:

Quitamos denominadores (al ser todos iguales)
![]()
Operamos:
![]()
Seguimos operando y resumimos y ordenamos la ecuación resultante:
![]()
Resolvemos la ecuación de 2º grado y obtenemos como soluciones
y 
Debemos verificar las soluciones. Podemos comprobar que ambas soluciones son válidas.