Navega sin publicidad Regístrate GRATIS

Ecuación General de la recta

ecuación_rectaEjercicios_Resueltosgeometría

Halla la ecuación general de la recta que pasa por los puntos (2,1) y (6,9)

SOLUCIÓN

Construimos el vector formado por ambos puntos

\vec{v}=(6-2, 9-1) \rightarrow \vec{v}=(4, 8)

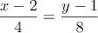
Con el vector \vec{v}=(4, 8) y uno de los puntos (2,1) creamos la ecuación continua

\frac{x-2}{4}=\frac{y-1}{8}

Mediante productos cruzados obtenemos la ecuación general

\frac{x-2}{4}=\frac{y-1}{8} \longrightarrow (x-2) \cdot 8 = 4 \cdot (y-1)

8x-16=4y-4 \longrightarrow \fbox{8x-4y-12=0}

Comentar el ejercicio