Dominio y corte con los ejes
Dominio:
– a) 
– b) 
– c) 
– d) No existe logaritmo de números negativos ni de cero, por tanto  
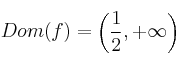
– e) No existe raíz cuadrada de números negativos, por tanto 
. Es una inecuación de segundo grado. Su solución será el dominio de la función.
(Ver vídeos sobre [inecuaciones->http://matematicasies.com/-Inecuaciones-)
Corte con los ejes
– a) 
. Punto de corte 
 Ecuación de 2º grado que no tiene solución, por tanto ya no hay más puntos de corte.
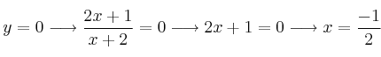
– b) 
. Punto de corte 
 Ecuación de 2º grado que tiene como soluciones 
 y 
, por tanto,  los puntos de corte son 
 y ![]()
– c) 
. Punto de corte 
 Punto de corte: 
.
– d) 
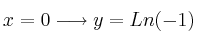
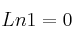
. No hay logaritmos de números negativos, por tanto no hay puntos de corte en el eje OY.
 (pues 
) 
 Punto de corte: 
.
– e) 
. Punto de corte: 
.
 y 
. Puntos de corte: 
 y 
.
Indica el dominio y corte con los ejes de coordenadas de las siguientes funciones:
– a) 
– b) 
– c) 
– d) 
– e) 
 Matemáticas IES