Determinantes de orden 2
El determinante de una matriz cuadrada es un número (resultado de hacer ciertos cálculos que veremos más adelante).
– Las matrices que no son cuadradas no tienen determinante
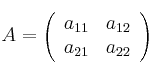
Supongamos una matiz 
Su determinante se puede expresar de alguna de las siguientes formas:

Cálculo de determinantes de orden 2
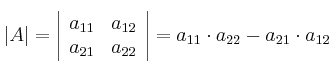
El determinante de una matriz cuadrada de orden 2 es el más fácil de calcular:
Si
entonces 
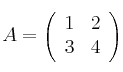
Ejemplo

Crea tu propio ejemplo
Introduce números (-99 a +99) y pulsa Enter (o clic fuera del recuadro)