Derivadas Ejercicios

, por dani

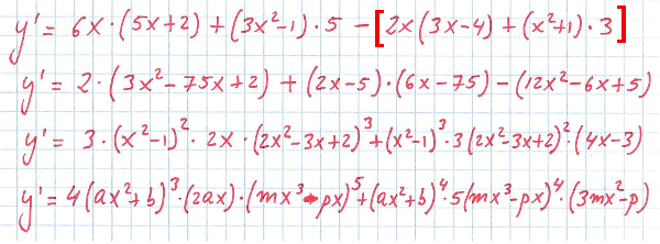
Calcula la derivada de las siguientes funciones:
 y=(3x^2-1)(5x+2) - (x^2+1)(3x-4)
 y=(2x-5)(3x^2-75x+2) - (4x^3-3x^2+5x-8)
 y=(x^2-1)^3 \cdot (2x^2-3x+2)^3
 y=(ax^2+b)^4 \cdot (mx^3-px)^5

SOLUCIÓN: