Depósito de ahorro
Como tenemos dinero ahorrado, estamos pensando en contratar un depósito que aumente ese dinero. El banco nos ofrece un 4% de interés compuesto anual, con pagos trimestrales. Abriremos el depósito con un capital inicial de 8000 euros.
– a) ¿Qué capital final obtendríamos después de 3 años?
– b) Si el tipo de interés fuera simple, cuánto tiempo necesitaríamos para obtener ese mismo capital final.
– c) Indica la TAE que tendría la operación.
SOLUCIÓN
a) Como los pagos son trimestrales, usaremos la fórmula del interés compuesto Ver Teoría donde t son trimestres:

Sustituimos en la fórmula los datos del enunciado:

b) Si el interés fuese simple (en lugar de compuesto), usamos la fórmula del interés simple para trimestres:

Necesitamos obtener un interés de 1014.60 con un capital de 8000 y un rédito del 4%

Tenemos que despejar t (número de trimestres)

Necesitaríamos 13 trimestres (3 años y un trimestre)
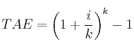
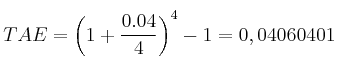
c) Usaremos la fórmula para el cálculo de la TAE (Ver Teoría):

Recordemos que k es el número de veces al año. Como son pagos trimestrales sería 4 veces al año

Sería una TAE del 4.06%