Corte con los ejes de coordenadas
Calcula los puntos de corte con los ejes de coordenadas de las siguientes funciones:
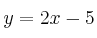
– a)
– b)
– c)
– d)
– e)
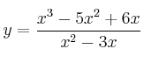
– f)
– g)
– h) ![]()
SOLUCIÓN:
Para calcular los puntos de corte hacemos
y calculamos
(para el otro eje hacemos
y calculamos
)
– a) ![]()
. Corte ![]()
. Corte ![]()
– b) ![]()
. Corte ![]()
y
. Corte
y ![]()
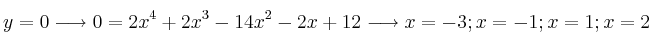
– c) ![]()
. Corte ![]()
. Corte
;
;
; ![]()
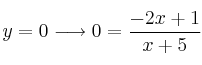
– d) 
. Corte 
.
Corte
– e)
La función se puede simplificar quedando
Por tanto los puntos de corte son
y ![]()
– f)
La función se puede simplificar quedando 
. Corte ![]()
. Corte ![]()
– g) ![]()
. Corte
(No tiene solución. No corta)
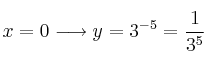
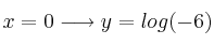
– h) ![]()
. (No corta. No existe logaritmo de número negativo)
Corte ![]()
Matemáticas IES