Complejos. Operaciones y representación gráfica
Realiza las siguientes operaciones y clasifica los resultados en función del conjunto o conjuntos numéricos a los que pertenecen.
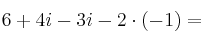
– a)
– b)
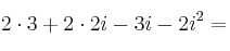
– c)
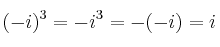
– d) ![]()
Representa los apartados a, b y d en el plano complejo.
SOLUCIÓN:
– a) ![]()
![]()
![]()
![]()
![]()
– b) 


– c) ![]()
![]()
![]()
![]()
– d) ![]()
![]()
Matemáticas IES