Cociente de Radicales
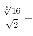
Expresa como una sola raíz ![]()
SOLUCIÓN:
![\frac{\sqrt[5]{16}}{\sqrt{2}}= \frac{\sqrt[5]{16}}{\sqrt{2}}=](local/cache-vignettes/L68xH75/cade43b42d6e926c87c702e3f62bef37-6ead2.png?1688146598)
Podemos hacer el ejercicio de varias formas:
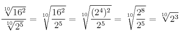
– 1) cociente de radicales haciendo común índice
![\frac{\sqrt[5]{16}}{\sqrt{2}}= \frac{\sqrt[5]{16}}{\sqrt{2}}=](local/cache-vignettes/L68xH75/cade43b42d6e926c87c702e3f62bef37-6ead2.png?1688146598)
m.c.m.(2,5) = 10
![\frac{\sqrt[10]{16^2}}{\sqrt[10]{2^5}}= \sqrt[10]{\frac{16^2}{2^5}} = \sqrt[10]{\frac{(2^4)^2}{2^5}} = \sqrt[10]{\frac{2^8}{2^5}} = \sqrt[10]{2^3} \frac{\sqrt[10]{16^2}}{\sqrt[10]{2^5}}= \sqrt[10]{\frac{16^2}{2^5}} = \sqrt[10]{\frac{(2^4)^2}{2^5}} = \sqrt[10]{\frac{2^8}{2^5}} = \sqrt[10]{2^3}](local/cache-vignettes/L372xH82/cd88d7fb768d3a235827ff86cf3b8a34-31674.png?1688150198)
– 2) pasando a potencias
![\frac{\sqrt[5]{16}}{\sqrt{2}}= \frac{\sqrt[5]{2^4}}{\sqrt{2}} = \frac{2^{\frac{4}{5}}}{2^{\frac{1}{2}}} = 2^{\frac{4}{5}-\frac{1}{2}} = 2^{\frac{3}{10}}= \sqrt[10]{2^3} \frac{\sqrt[5]{16}}{\sqrt{2}}= \frac{\sqrt[5]{2^4}}{\sqrt{2}} = \frac{2^{\frac{4}{5}}}{2^{\frac{1}{2}}} = 2^{\frac{4}{5}-\frac{1}{2}} = 2^{\frac{3}{10}}= \sqrt[10]{2^3}](local/cache-vignettes/L352xH78/e15d690f1943c6fd20ec9e2bc0708dac-e4250.png?1688150198)
Expresa como una sola raíz ![]()
SOLUCIÓN:
![\frac{\sqrt[5]{16}}{\sqrt{2}}= \frac{\sqrt[5]{16}}{\sqrt{2}}=](local/cache-vignettes/L68xH75/cade43b42d6e926c87c702e3f62bef37-6ead2.png?1688146598)
– 1) cociente de radicales haciendo común índice
![\frac{\sqrt[5]{16}}{\sqrt{2}}= \frac{\sqrt[5]{16}}{\sqrt{2}}=](local/cache-vignettes/L68xH75/cade43b42d6e926c87c702e3f62bef37-6ead2.png?1688146598)
![\frac{\sqrt[10]{16^2}}{\sqrt[10]{2^5}}= \sqrt[10]{\frac{16^2}{2^5}} = \sqrt[10]{\frac{(2^4)^2}{2^5}} = \sqrt[10]{\frac{2^8}{2^5}} = \sqrt[10]{2^3} \frac{\sqrt[10]{16^2}}{\sqrt[10]{2^5}}= \sqrt[10]{\frac{16^2}{2^5}} = \sqrt[10]{\frac{(2^4)^2}{2^5}} = \sqrt[10]{\frac{2^8}{2^5}} = \sqrt[10]{2^3}](local/cache-vignettes/L372xH82/cd88d7fb768d3a235827ff86cf3b8a34-31674.png?1688150198)
– 2) pasando a potencias
![\frac{\sqrt[5]{16}}{\sqrt{2}}= \frac{\sqrt[5]{2^4}}{\sqrt{2}} = \frac{2^{\frac{4}{5}}}{2^{\frac{1}{2}}} = 2^{\frac{4}{5}-\frac{1}{2}} = 2^{\frac{3}{10}}= \sqrt[10]{2^3} \frac{\sqrt[5]{16}}{\sqrt{2}}= \frac{\sqrt[5]{2^4}}{\sqrt{2}} = \frac{2^{\frac{4}{5}}}{2^{\frac{1}{2}}} = 2^{\frac{4}{5}-\frac{1}{2}} = 2^{\frac{3}{10}}= \sqrt[10]{2^3}](local/cache-vignettes/L352xH78/e15d690f1943c6fd20ec9e2bc0708dac-e4250.png?1688150198)