Cálculo de límites de funciones
Calcula los siguientes límites:
– a)
– b) 
SOLUCIÓN:
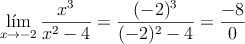
a) ![]()
b)
Indeterminación
Para resolver indeterminaciones del tipo Número entre cero debemos hacer límites laterales
![]()
![]()
Calcula los siguientes límites:
– a)
– b) 
SOLUCIÓN:
a) ![]()
b)
Indeterminación
Para resolver indeterminaciones del tipo Número entre cero debemos hacer límites laterales
![]()
![]()