Calcular el dominio de una función
Calcula el dominio de la función 
SOLUCIÓN
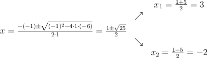
Al tratarse de una función racional, su dominio son todos los reales excepto los que anulan el denominador.
Igualamos el denominador a cero y resolvemos
![]()

![]()
Calcula el dominio de la función 
Al tratarse de una función racional, su dominio son todos los reales excepto los que anulan el denominador.
Igualamos el denominador a cero y resolvemos
![]()

![]()