Calcular derivada

, por dani

Calcula la derivada de las funciones:
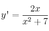
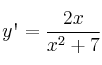
 y = Ln(x^2+7)
 y = Ln(e^x+2)

SOLUCIÓN:

 y\textsc{\char13} = \frac{2x}{x^2+7}
 y\textsc{\char13} = \frac{e^x}{e^x+2}