Área de triángulo
Halla el área del triángulo determinado por los puntos
,
y ![]()
SOLUCIÓN
El área de un triángulo viene determinada por la fórmula
Como base tomaremos el segmento
y como altura tomaremos la distancia del punto
a la recta que pasa por
y ![]()
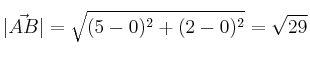
Calculamos la base =
Ecuación de la recta que pasa por los puntos
y
Punto:
Vector:
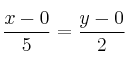
Ecuación continua:
Pasamos a ec. general: ![]()
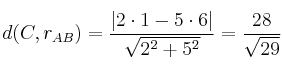
Aplicamos la fórmula de la distancia de un punto a una recta:

Finalmente calculamos el área:

El área es de 14 unidades cuadradas (
)
Mensajes
23 de enero de 2020, 20:51, por jose gildardo espinal
estoy interesado como docente de calculo en sus notas para trasladarsela a mis estudiantes son excelentes.
23 de enero de 2020, 21:08, por dani
Gracias.
Me alegro de que mis apuntes sirvan a otras personas.
Un saludo.