09 - Punto medio de un segmento
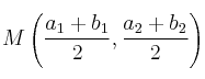
Dado el segmento determinado por los puntos
y
podemos hallar el punto medio
del segmento
mediante la fórmula:

Punto medio de un segmento
Punto medio de un segmento
Otra forma alternativa de hallar el punto medio, es mediante vectores:

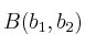
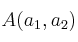
Ejemplo: Sea el segmento determinado por los puntos
y
Denotaremos al punto medio
, entonces:

![]()
![]()
Por tanto:
–
–
El punto medio es
Mensajes
13 de noviembre de 2019, 03:41, por Andres
En el ejemplo, X2, y, Y1 tienen exactamente el mismo valor (3), razon por la cual el proceso no es entendible. Intenté hacer una generalización para (X1,Y1), y, (X2, Y2) con la forma: (Y1-X1,Y2-X2)=2(X-X1,Y-Y1) y no funcionó. Podrían explicar mas ampliamente la relación con los vectores y utilizar ejemplos más claros para la generalización si no la van a poner de manera implícita.
13 de noviembre de 2019, 21:01, por dani
Andres, si haces la generalización, tal como dices en tu mensaje, obtendrás la fórmula que hay al principio
El usar
tiene el objetivo de "razonar" frente a "aprender fórmulas".
La generalización que debemos obtener como conclusión es que podemos dividir un segmento en varias partes, por ejemplo, para dividirlo en 3 partes iguales usaríamos
Puedes encontrar más ejemplos en el siguiente enlace:
https://matematicasies.com/?page=mo...