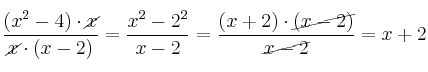
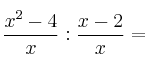
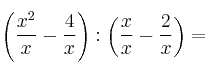
fracciones algebraicas Ejercicios_Resueltosfracciones_algebraicaspolinomios Opera y simplifica: SOLUCIÓN Comentar el ejercicio