Vector Unitario
Halla el vector unitario asociado al vector ![]()
SOLUCIÓN
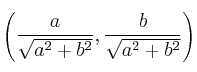
Dado un vector
, una forma de obtener un vector proporcional que sea unitario es dividir ambas coordenadas por su módulo.
El vector
es un vector unitario.
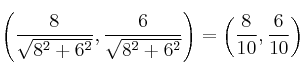
El vector unitario asociado al vector
sería:
