Valores parámetros función trozos derivable
Calcula los valores de
y
para que la siguiente función sea derivable en el punto ![]()

SOLUCIÓN
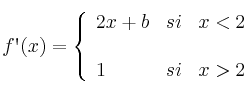
La función derivada es de la forma:

Para que sea derivable en
se tiene que cumplir que
![]()
Por tanto: 
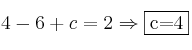
Por otra parte sabemos que derivable
continua, por tanto debe ser continua en
y por ello deben coincidir ambos límites laterales:
. Como
, tenemos que:
