Sucesión divergente
Dada la siguiente sucesión: 1 , 4 , 7 , 10 , ... ¿Cuál es la expresión de su término general?. ¿Es convergente, divergente u oscilante?. ¿Es una progresión? En caso afirmativo indique de qué tipo y cuál es la constante de la progresión. Por último, calcule la suma de sus 20 primeros términos
SOLUCIÓN
![]()
En primer lugar vemos que cada término se obtiene sumando 3 al anterior.
Por tanto es una progresión aritmética de diferencia 3
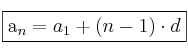
La fórmula del término general de las progresiones aritméticas es:

En este caso será:
![]()
![]()
Se trata de una sucesión divergente pues su límite es infinito (los términos se van haciendo cada vez más grandes)
![]()
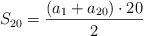
La fórmula de la suma de los n primeros términos es la siguiente

La suma de los 20 primeros es:
![]()
Conocemos
, pero necesitamos calcular ![]()
![]()
Entonces la suma de los 20 primeros es:
![]()