Sistema lineal 3x3 resuelto por sustitución
Resuelve el siguiente sistema de ecuaciones por el método de sustitución:

SOLUCIÓN
Buscamos una incógnita con coeficiente 1 (para evitar fracciones) y la despejamos.
Despejamos "z" en la primera ecuación y sustituimos en las otras dos ecuaciones

Ahora en las otras dos ecuaciones donde haya
ponemos ![]()

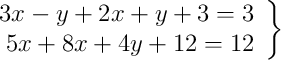
Tenemos un sistema de 2 ecuaciones con 2 incógnitas.
Quitamos paréntesis y lo ordenamos antes de resolver.


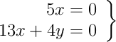
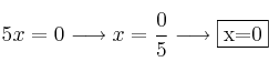
De la 1ª ecuación obtenemos:

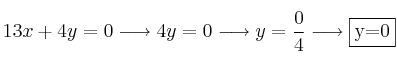
En la 2ª ecuación sustituimos "x" por "0"

Ya sólo nos queda calcular "z" que estaba despejada a principio del ejercicio:
![]()

Por tanto la solución es:

Mensajes
3 de junio de 2020, 02:45, por olibhks
buenas noches, necesito este ejercicio de álgebra lo mas rápido posible, es para mañana a mas tardar antes de las(6:00) pm
ejercicio sistemas 3x3 por métodos algebraicos
3x-2y+3z=25
2x-4y+2z=14
x-y-z=-4
en métodos: sustitución eliminación e igualación
gracias!!!!! lo mas rapidoo posible ¡POR FAVOR!