Navega sin publicidad Regístrate GRATIS

Sistema Lineal 3x3 resuelto por sustitución

Ejercicios_Resueltossistemas_por_sustituciónsistema_lineal_3_ecuaciones_3incógnitas

Resuelve el sistema de ecuaciones:
 \left\{
\begin{array}{lll}
a + b + c = 2 \\
a - b + c = 6 \\
a - b - c = 0
\end{array}
\right.

SOLUCIÓN

 \left\{
\begin{array}{lll}
a + b + c = 2 \\
a - b + c = 6 \\
a - b - c = 0
\end{array}
\right.

Resolvemos el sistema por el método de sustitución.
Despejamos a en la primera ecuación y sustituimos en las otras dos ecuaciones
\fbox{a = 2-b-c}
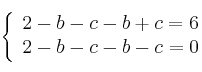
Ahora sustituimos:

 \left\{
\begin{array}{lll}
2-b-c - b + c = 6 \\
2-b-c - b - c = 0
\end{array}
\right.

Debemos resolver el sistema de dos ecuaciones con dos incógnitas

 \left\{
\begin{array}{lll}
-2b = 4 \\
-2b-2c = -2
\end{array}
\right.

De la primera ecuación obtenemos b=-2
Sustituimos en la segunda ecuación:
-2 \cdot (-2) -2c = -2 \longrightarrow c=3

Una vez obtenidos los valores de b y c, sustituimos en la expresión donde despejamos a: a = 2-b-c \longrightarrow a=1

[a=1,b=-2,c=3]

Comentar el ejercicio