Sistema 3x3 Gauss
Resuelve por el método de Gauss el sistema de ecuaciones:

SOLUCIÓN
Método de Gauss (eliminación)
Transformamos el sistema en una matriz aumentada y realizamos operaciones elementales de fila hasta obtener una forma triangular superior. Después, resolvemos de abajo arriba.
Sistema de partida:

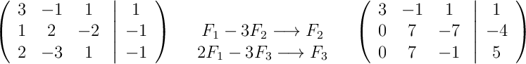
Paso 1 · Formamos la matriz aumentada del sistema

Paso 2 · Hacemos ceros debajo del pivote de la 1.ª columna

Paso 3 · Hacemos cero debajo del pivote de la 2.ª columna

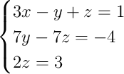
Paso 4 · Convertimos la matriz triangular en sistema

Paso 5 · Resolvemos de abajo arriba (sustitución regresiva)
De la 3.ª ecuación obtenemos z:

De la 2.ª ecuación obtenemos y:
![]()


De la 1.ª ecuación obtenemos x:
![]()


Solución
