Selectividad Andalucía 2011-Junio-A1
Se desea construir un depósito cilíndrico cerrado de área total igual a
. Determina el radio de la base y la altura del cilindro para que este tenga volumen máximo.
SOLUCIÓN
Necesitamos recordar algunos conocimientos previos:
– Área del círculo:
– Longitud de la circunferencia:
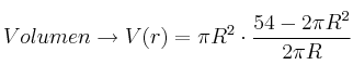
– Volumen del cilindro: Área_base · Altura:
– Área del cilindro: 1 rectángulo + 2 círculos: ![]()
Datos del problema:
– Área del cilindro es 54
![]()
– El volumen debe ser máximo
![]()
La función a maximizar (el volumen) tiene dos variables:
y
.
Debemos expresarlo con una sola variable.
Para ello, debemos poner una variable en función de otra. Nos ayudamos de la fórmula del área:
, donde despejaremos ![]()

Sustituimos en el volumen, con lo cual nos quedará ya una función con una sola variable

Simplificando y ordenando nos queda:
![]()
Para buscarle un máximo debemos igualar la primera derivada a cero y resolver la ecuación. Las soluciones serán los candidatos a máximos y mínimos.
Aplicándole la segunda derivada (y mirando su signo), sabremos si ese máximo o mínimo.
![]()
Podemos descartar la solución negativa por ser $R$ una longitud.
es MÁXIMO
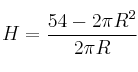
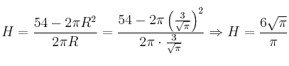
Ya conocemos el radio
,
ahora calculamos la altura ![]()

Mensajes
15 de junio de 2011, 16:01, por dani
Ha salido esta mañana (15 Junio 2011) en las Pruebas de Acceso a la Universidad (Selectividad) de Andalucía.
16 de junio de 2011, 05:01, por rubiomga
Problema de Optimización
Hay que relacionar las dos incógnitas a optimizar mediante dos ecuaciones que serán las que vienen dadas por el dato (área) y por lo que se pretende optimizar(Volumen)
54= bH+2piR^2
V=piR^2 H
donde el área del cilindro lo constituye las dos tapas y el rectángulo pertinente. Es aquí donde se introduce una tercera incógnita: la base del rectángulo, sin embargo, este es calculado sabiendo que su base es igual al perímetro de la circunferencia que sirve de base.
b=2piR
54=2piRH+2piR^2
V=HpiR^2 ->H=V/piR^2
54=2V/R + 2piR^2
54-2piR^2=2V/R
54R-2piR^3=2V
V=27R-piR^3
V’=27-3piR^2=0 -> 9=piR^2 -> R2=9/pi ->
R=3/sqrt(pi)
V’’=-6piR (sustituyes tu resultado) Como R>0 v’’<0 y es un máximo
54=6sqrt(pi)H + 18
36=6sqrt(pi)H
H=6/sqrt(pi)