Navega sin publicidad Regístrate GRATIS

Resolver triángulo conociendo dos ángulos y un lado

Ejercicios_Resueltosproblemas trigonometríateorema de los senostrigonometría

Resuelve un triángulo sabiendo que uno de sus lados mide 10 m y que dos de sus ángulos tienen 60 y 80 grados respectivamente.

SOLUCIÓN

Si conocemos dos ángulos podemos hallar el tercer ángulo (entre los tres tienen que sumar 180 grados)

El enunciado ocasiona tres soluciones posibles, según a qué lado le asignemos que mide 10

1) AB = 10
2) BC = 10
3) AC = 10

En la siguiente imagen podemos apreciar las 3 posibles soluciones

1) AB = 10 (triángulo ABC)
2) BA’ = 10 (triángulo DBA’)
2) AB’ = 10 (triángulo AEB’)

Resolveremos, a modo de ejemplo uno de los casos, concretamente el que corresponde a la siguiente imagen

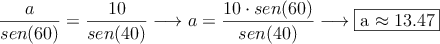
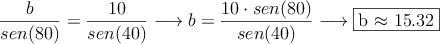
Para resolver el triángulo podemos aplicar el Teorema de los Senos

\frac{a}{sen(60)} = \frac{b}{sen(80)} = \frac{10}{sen(40)}

\frac{a}{sen(60)} = \frac{10}{sen(40)}  \longrightarrow a = \frac{10 \cdot sen(60)}{sen(40)} \longrightarrow \fbox{a \approx 13.47}

\frac{b}{sen(80)} = \frac{10}{sen(40)}  \longrightarrow b = \frac{10 \cdot sen(80)}{sen(40)} \longrightarrow \fbox{b \approx 15.32}

Si optamos por las otras opciones, los resultados son:

AB^\prime = 10
AE = 6.53
EB^\prime = 8.79

BA^\prime = 10
DB = 7.42
DA^\prime = 11.37

Comentar el ejercicio