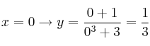
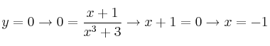
Puntos de corte con los ejes corte_ejesEjercicios_Resueltosfunciones Calcula los puntos de corte con los ejes de coordenadas de la función SOLUCIÓN Punto de corte Punto de corte Comentar el ejercicio