Problema progresiones 4543
Encuentre el número de términos que se deben sumar de la progresión aritmética 9, 11, 13,... para que la suma sea igual a la de los nueve primeros términos de la progresión geométrica 3, -6, 12, -24,...
SOLUCIÓN
En las progresiones geométricas el término general responde a la fórmula
y la suma de los n primeros términos es 
En el caso de 3, -6, 12, -24,.. la razón es ![]()
Entonces ![]()
![]()
![]()
Por tanto, la suma de los 9 primeros términos es 513
Ahora en la progresión aritmética debemos calcular el número de términos necesarios para que su suma sea 513
En la progresión aritmética 9, 11, 13, .. la diferencia es
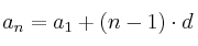
y el término general es
![]()
![]()
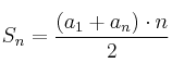
La suma de los n primeros términos es
(que debe valer 513)
![]()
Sustituimos
por ![]()
![]()
![]()
![]()
(podemos simplificar antes de resolver)
![]()
Resolvemos la ecuación de segundo grado y obtenemos como soluciones
y ![]()
Descartamos la negativa pues "n" tiene que ser un número Natural.
Por tanto la solución es 19 términos.